渭南经开区国德电气拖欠近70名员工工资4年之久,金额超100万…怎么讨要?

  [复制链接]

签到天数: 3 天

[LV.2]偶尔看看I

分享到:
发表于 2020-1-10 11:25 手机版 | 显示全部楼层 |阅读模式

马上注册荣耀渭南网,结交渭南乡党,享用更多功能,让你轻松玩转荣耀网

您需要 登录 才可以下载或查看,没有账号?立即注册 |

x
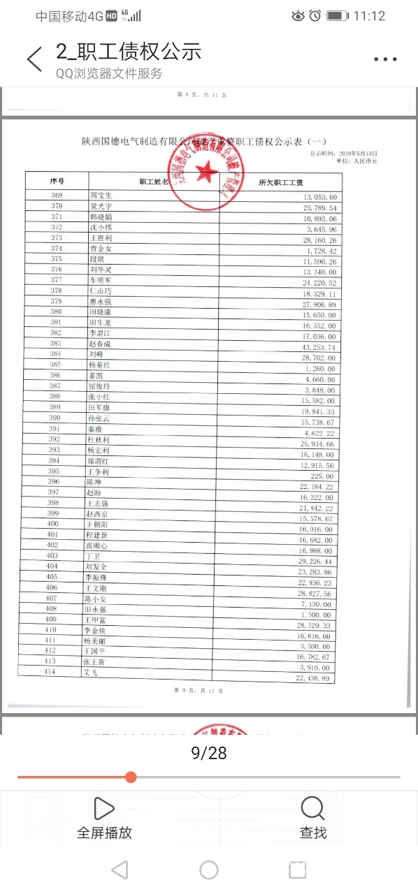
陕西国德电气公司位于渭南市经开区管委会对面,主要业务高铁配件制造,公司从2016年上半年开始由于企业员工拖欠员工大概60余人,上百万元,公司无法生产后,申请破产重整,来来回回,到2019年4月份公示了拖欠工资金额,公司开始正常生产,员工到企业要工资企业承诺2019年10月份解决,但是到了时间有说没钱,员工这四年多到渭南经开区管委会,渭南经开区人社局,渭南市长热线,渭南东秦百姓栏目等多重方式都没有得到解决,党的十九大以来,党和国家十分关心群众疾苦,落实群众路线,落实解决拖欠工资问题,但是国德电气的工资为何没有解决,希望相关部门督促落实解决,想百姓之所想,急百姓之所急,成为群众的知心人,让群众过个好年。
20200110_125287_1578626568800.jpg
20200110_125287_1578626568911.jpg
(原标题:陕西国德电气拖欠工资谁为我们做主??)
微信图片_20200108104651.jpg


荣耀渭南网---每天我们都在影响这座城市!

签到天数: 3 天

[LV.2]偶尔看看I

 楼主| 发表于 2020-1-10 11:50 手机版 | 显示全部楼层
荣耀渭南网---每天我们都在影响这座城市!

签到天数: 3 天

[LV.2]偶尔看看I

 楼主| 发表于 2020-1-10 12:14 手机版 | 显示全部楼层
荣耀渭南网---每天我们都在影响这座城市!

该用户从未签到

发表于 2020-1-10 12:35 手机版 | 显示全部楼层
人心不齐吗?联名行政起诉啊
荣耀渭南网---每天我们都在影响这座城市!

签到天数: 3 天

[LV.2]偶尔看看I

 楼主| 发表于 2020-1-10 12:38 手机版 | 显示全部楼层
美好的时光 发表于 2020-1-10 12:35
人心不齐吗?联名行政起诉啊

谢谢关注,可以参考
荣耀渭南网---每天我们都在影响这座城市!

该用户从未签到

发表于 2020-1-10 12:51 手机版 | 显示全部楼层

陕西国德电气公司位于渭南市经开区管
委会对面,主要业务高铁配件制造,公
司从2016年上半年开始由于企业员工拖
欠员工大概60余人,上百万元,公司无
法生产后,申请破产重整,来来回回,
到2019年4月份公示了拖欠工资金额,
公司开始正常生产,员工到企业要工资
企业承诺2019年10月份解决,但是到了
时间有说没钱,员工这四年多到渭南经
开区管委会,渭南经开区人社局,渭南
市长热线,渭南东秦百姓栏目等多重方
式都没有得到解决,党的十九大以来,
党和国家十分关心群众疾苦,落实群众
路线,落实解决拖欠工资问题,但是国
德电气的工资为何没有解决,希望相关
部门督促落实解决,想百姓之所想,急
百姓之所急,成为群众的知心人,让群
众过个好年。

20200110_203980_1578631720190.png
荣耀渭南网---每天我们都在影响这座城市!

该用户从未签到

发表于 2020-1-10 13:11 手机版 | 显示全部楼层
拖欠工资确实可恶。
荣耀渭南网---每天我们都在影响这座城市!

签到天数: 3 天

[LV.2]偶尔看看I

 楼主| 发表于 2020-1-10 14:16 手机版 | 显示全部楼层
荣耀渭南网---每天我们都在影响这座城市!

签到天数: 120 天

[LV.7]常住居民III

发表于 2020-1-10 14:27 手机版 | 显示全部楼层
经开区尽招些死狗企业
荣耀渭南网---每天我们都在影响这座城市!

该用户从未签到

发表于 2020-1-10 14:31 手机版 | 显示全部楼层
找律师打官司     找市政府
荣耀渭南网---每天我们都在影响这座城市!

使用高级回帖 (可批量传图、插入视频等)快速回复

您需要登录后才可以回帖 登录 | 立即注册 |

本版积分规则   Ctrl + Enter 快速发布  

发帖时请遵守我国法律,网站会将有关你发帖内容、时间以及发帖IP地址等记录保留,只要接到合法请求,即会将信息提供给有关政府机构。
返回顶部快速回复返回列表找客服
快速回复 返回顶部 返回列表